2004年房地产估价师考试《房地产估价理论与方法》试卷及答案

时间:2011-06-28  来源:建设工程网  编辑:  打印

【免费】在线模拟考场,让考生边学边练!巩固学习效果>>
在线模拟考场,提供自动阅卷评分、全试题解析、考题讨论等功能,帮助学员模拟实战。
【精品班】考生第一年考试未通过 第二年半价重学!点击查看>>
房地产估价师:由建筑辅导界享有盛誉的权威专家授课,24小时专家在线答疑,7天内免费退换课!

根据市场调查,有关数据如下:

(1)该项目所在区域的同类型、同档次住宅的销售价格为5000元/m2,销售税费为销售价格的6%;同类写字楼可出租建筑面积的月租金为120元/m2 (可出租面积占建筑面积的70%),并按时年租收入的30%缴纳押金,出租空置率为20%,有关税费和经营管理费用按租金收入的30%计,银行存款年利率为3%,报酬率为10%。

(2)同类开发项目的社会平均开发成本为:住宅楼1800元/m2,写字楼2800元/m2,管理费用为开发成本的5%。

(3)除地价款外,写字楼和住宅楼的其他建设资金在各自建设期内每年投入50%且在年度内均匀支出。假设住宅楼在销售期末一次性全部售出。

(4)目前,此类项目折现率为10%。

(5)为得到该宗土地,还需要按取得地价原价的3%缴纳有关税费。试计算该房地产开发商所能支付的最高土地价格。(12分)

2004年房地产估价师考试《房地产估价理论与方法》参考答案

一、单选题

1.C2.D3.C4.C.5.B 6.D7.C8.C9.D10.A

11.C12.C13.C14.C15.D16.D17.C18.D19.B20.C

21.C2.B23.C24.C25.B26.D27.B28.B29.C30.B

31.B32.C33.B34.B35.D

二、多选题

1.BCD2.AC3.DE4.ACE5.BCDE6.ABC7.ABDE8.ABCD9.ABD10.ABC

11.ABCE12.DE 13.ABDE14.ACE15.BC

三、判断题

1.√2.×3.×4.√5.×6.√7.√8.√9.×10.×

11.√ 12.× 13.√ 14.√15.×

四、计算题

1.解:

(1)计算未来3年的净利益。

1)未来第一年的净收益(360-36)×)1-20%)×)1-25%)×3000=-58.32万元

2)未来第二年的净收益(400-36)×(1-20%)×(1-25%)×3000=-65.52万元

3)未来第三年的净收益(330-36)×(1-20%)×(1-25%)×3000=52.92万元

(2)用未来数据资本化公式法计算每年不变的净利益。

 

(3)计算收益价格。

 

或:

 

2.解:

第一种答案:

(1)项目总建筑面积:

1.2×10000×2.5=30000m2

其中,住宅楼总建筑面积15000m2,写字楼总建筑面积15000m2

(2)房地产开发项目总价值及折现值。

1)住宅楼价值:5000×15000=7500万元

住宅楼价值折现到办理完土地使用权出让手续时点(第一年末)的折现值:

7500/(1+10%)3=5634.86万元

2)写字楼价值。

①写字楼年租金收入=120×15000×70%×(1-20%)×12=1209.6万元

②写字楼押金:1209.6×30%=362.88万元

③写字楼押金运用年收益:362.88×3%=10.89万元

④有关税费和经营管理费用:1209.6×30%=362.88万元

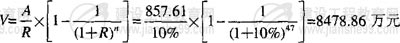
⑤租赁净收入:1209.6+10.89-362.88=857.61万元

⑥写字楼价值: 

⑦写字楼折现到第1年末折现值=8478.86/(1+10%)3=6370.29万元

3)项目总价值折现值:5634.86+6370.29=12005.15万元

(3)项目开发成本、管理费用及其折现值。

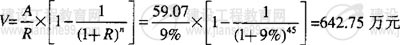
1)住宅楼部分:1800×15000×(1+5%)=2835万元

写字楼部分:2800>(15000×(1+5%)=4410万元

2)住宅楼开发成本及管理费折现值:

2835×[0.5/(1+10%)0.5+0.5/(1+10%)1.5]=2580.13万元

3)写字楼开发成本及管理费用折现值:

4410×[0.5/(1+10%)1.5+0.5/(1+10%)2.5]=3648.76万元

4)项目开发成本及管理费用折现值:

2580.13+3648.76=6228.89万元

(4)住宅楼销售税费及折现值。

1)住宅楼销售税费:7500×6%=450万元

2)住宅楼销售税费折现值:450/(1+10%)3=338.09万元

(5)所能支付的最高土地价格=(总价值-住宅楼销售税费-开发成本及管理费用)(1+3%)

=(12005.15-338.09-6228.89)/(1+3%)

=5279.78万元

第二种答案:

来源:建设工程教育网

热门点击
网络视频多媒体课堂
联系我们

招生方案免费试听快速选课