2006年房地产估价师考试《房地产估价案例与分析》试卷及答案

时间:2011-06-28  来源:建设工程网  编辑:  打印

【免费】在线模拟考场,让考生边学边练!巩固学习效果>>
在线模拟考场,提供自动阅卷评分、全试题解析、考题讨论等功能,帮助学员模拟实战。
【精品班】考生第一年考试未通过 第二年半价重学!点击查看>>
房地产估价师:由建筑辅导界享有盛誉的权威专家授课,24小时专家在线答疑,7天内免费退换课!

2.该房屋用途性质建议拆迁当事人按以下原则确定:

(1)以房屋权属证书及权属档案的记载为准;

(2)当地政府对被拆迁房屋的用途性质认定有特别规定的,从其规定:

(3)拆迁人和被拆迁人对拆迁房屋的用途性质协商一致的,按协商结果确定;

(4)对被拆迁房屋的性质用途不能协商一致的,向城市规划行政主管部门申请确认。

(二)答:

1.不可取。

因为这些交易实例在实物状况上会有较大差异,如土地房屋规模、设备装修档次、建筑结构、楼层层数与层高、临街深度等不同,不具有可比性。

2.确定出租部分潜在毛收入时应注意:

(1)租赁期内按租约计,租赁期外按正常客观的市场租金计;

(2)应考虑租赁保证金和押金的利息收入;

(3)应考虑是否存在无形收益。

3.确定自营部分净收益时应注意:

(1)测算正常客观的净经营(营业)收入;

(2)应扣除正常商业利润。

或:要准确界定由商业房地产本身带来的净收益,不要在净收益中混入由于经营等非

房地产本身要素所产生的收益。

或:应根据经营资料测算净收益,净收益为商品销售收入扣除商品销售成本、经营费

用、商品销售税金及附加、管理费用、财务费用和商业利润。

(三)答:

1.错误有:

(1)应采用符合估价时点市场情况的各项成本费用(或重置价格)。

或:不应采用实际支出时的各项成本费用。

(2)应根据估价对象的规模,确定客观合理的开发周期,以此计算投资利息。

或:不应计自至估价时点。

(3)利润应是估价时点市场上的客观正常利润水平。

或:利润不应是开发商的期望利润。

2.重置价格还应减去折旧。

或:(1)或能存在的施工质量缺陷,有形损耗等各种原因产生的物质折旧。

(2)可能存在的烂尾楼设计过时(落后)等各种原因产生的功能折旧。

(3)可能存在的由于市场供求状况、规划、政策等方面的外部因素变化产生的经济折旧。

二、单项选择题

(一)1.B2.A3.D4.D

(二)5.C6.D7.C

(三)8.D9.B10.A

三、指错题

1.致委托方函缺估价时点。

2.致委托方函缺估价报告应用的有效期。

3.结果报告中土地实物状况描述缺少土地面积(或分摊土地面积)。

4.结果报告估价方法中缺估价方法定义(或各种方法未做说明)。

5.结果报告中估价报告应用有效期关于不负任何责任的表达错误,应为:如果本报告超过应用有效期还未使用,本公司不负任何责任。

6.技术报告中可比实例B、C商业土地等级与估价对象不一致,应修正。

7.比较因素欠缺,如可比实例建成年代、容积率、可收益年限等是否相近。

8.缺少可比实例因素的分析说明(或缺少可比实例因素修正系数取值说明)。

9.可比实例C的繁华程度修正系数取值与实际描述不符。

10.市场法中可比实例B、C设施设备因素修正与实际描述不符。

11.估价对象一层层高4.5m,未进行相应修正处理。

12.技术报告中市场法缺少计算公式。

13.租金收入中未考虑租赁保证金或押金的利息收入。

14.10%空置率和租金损失率5%应说明确定理由。

15.有效毛收入计算应为190086×(1-10%-5%)=161573元。

16.营业税及附加为租金收入的5.85%不准确,应为5.5%。

17.出租房屋管理费和租赁费用按经验数据取值不妥,应按市场客观分析判断得出(或管理费和租赁费用取2.5%,理由不充分)。

18.保险费的计算基础错误,应为建筑物现值。

19.收益法公式的选用没有理由(或:未考虑租金未来的变化)。

20.土地剩余使用年限应为37.5年。

21.收益法采用建筑物耐用年限作为收益年限错误,应按土地使用权剩余年限计算(37.5年)(或公式中n年取值错误)。

22.可比实例缺少币种。

四、指出并改正下面估价报告片断中的错误

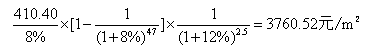
1.商铺开发完成后的单价公式中折现率错,应为12%。

 

2.商铺开发后的总价值计算时,应扣除300m2独立车棚的面积。

商铺开发完成后的总价值=4118.45×8700=3583.05(万元)或3760.52×8700=3271.65万元。

来源:建设工程教育网

热门点击
网络视频多媒体课堂
联系我们

招生方案免费试听快速选课