2005年房地产估价师考试《房地产估价理论与方法》试卷及答案

时间:2011-06-28  来源:建设工程网  编辑:  打印

【免费】在线模拟考场,让考生边学边练!巩固学习效果>>
在线模拟考场,提供自动阅卷评分、全试题解析、考题讨论等功能,帮助学员模拟实战。
【精品班】考生第一年考试未通过 第二年半价重学!点击查看>>
房地产估价师:由建筑辅导界享有盛誉的权威专家授课,24小时专家在线答疑,7天内免费退换课!

31.D32.A33.C34.D35.A

二、多项选择题

1.CE2.BCE3.CDE4.ACDE5.AC6.BCDE7.BCE8.ABD

9.CD10.BCE11.CE12.ACD13.ABDE14.AE15.ABE

三、判断题

1.×2.×3.×4.×5.×6.×7.√8.× .9.√

10.×11.×12.×13.×14.√15.×

四、计算题

1.解答:

(1)项目建成后的价值:

写字楼开发完成后的价值:V=8000×3/(1+10%)3=18031.56万元

写字楼的销售税费=18031.56×6%=1081.89万元

商业部分开发完成后的价值:

 

(2)续建成本:

3000×(1+5%)×(1-30%)/(1+10%)×5=10022.73万元

装修费为:2000×2/(1+10%)2.5=3152万元

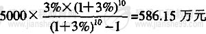
(3)每半年还款额:

 

(4)贷款余额:

 

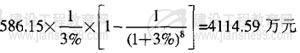
(5)转让价:

(18031.56+27640 70-10022.73-3152-1081.89)/(1+3%)-4114.59=26386万元

2.解答:

(1)土地价格=0.4×2000×[1-1/(1+8%)30)]/[1-1/(1+8%)40]

=800×0.9006/0.9540=755.26万元

(2)建筑物物质折旧额计算:

1)门窗等损坏的修复费用=3万元;

2)装修的折旧费=82.5×1/5×4=66万元;

3)其他设备的折旧费=250×1/15×9=150万元。

4)长寿命项目的折旧费=(1300×0.9-3-82.5-250)×1/40×10=208.63万元

(3)建筑物功能折旧额计算:

1)功能过剩所引起的折旧=800×12/10%×[1-1/(1+10%)30]=9.05万元

2)空调功能落后引起的折旧=130-80+10-30+8=38万元

(4)建筑物经济折旧额=7/10%×[1-1/(1+10%)30]=65.99万元

(5)建筑物折旧总额=3+66+150+208.63+9.05+38+65.99=540.67万元

(6)写字楼估价结果=755.26+1300×0.9-540.67=1384.59万元

来源:建设工程教育网

热门点击
网络视频多媒体课堂
联系我们

招生方案免费试听快速选课